pg电子
澳门新葡京博彩app
pg电子游戏试玩
靠谱网赌平台大全
>网站地图-sitemap
中国政府网
陕西省人民政府网
简
繁
微信矩阵
登录
注册
无障碍
适老版
搜索
网站首页
机构概况
pg电子
政民互动
pg电子
机关党建
廉政纪检
专题专栏
新媒体分享
简体
繁体
首页
>
政府信息公开
>
法定主动公开内容
>
政策文件
索引号
11610000MB2964073W/2023-00198
主题分类
发布机构
pg电子
成文日期
2023-09-07 00:00
效力状态
文号
名称
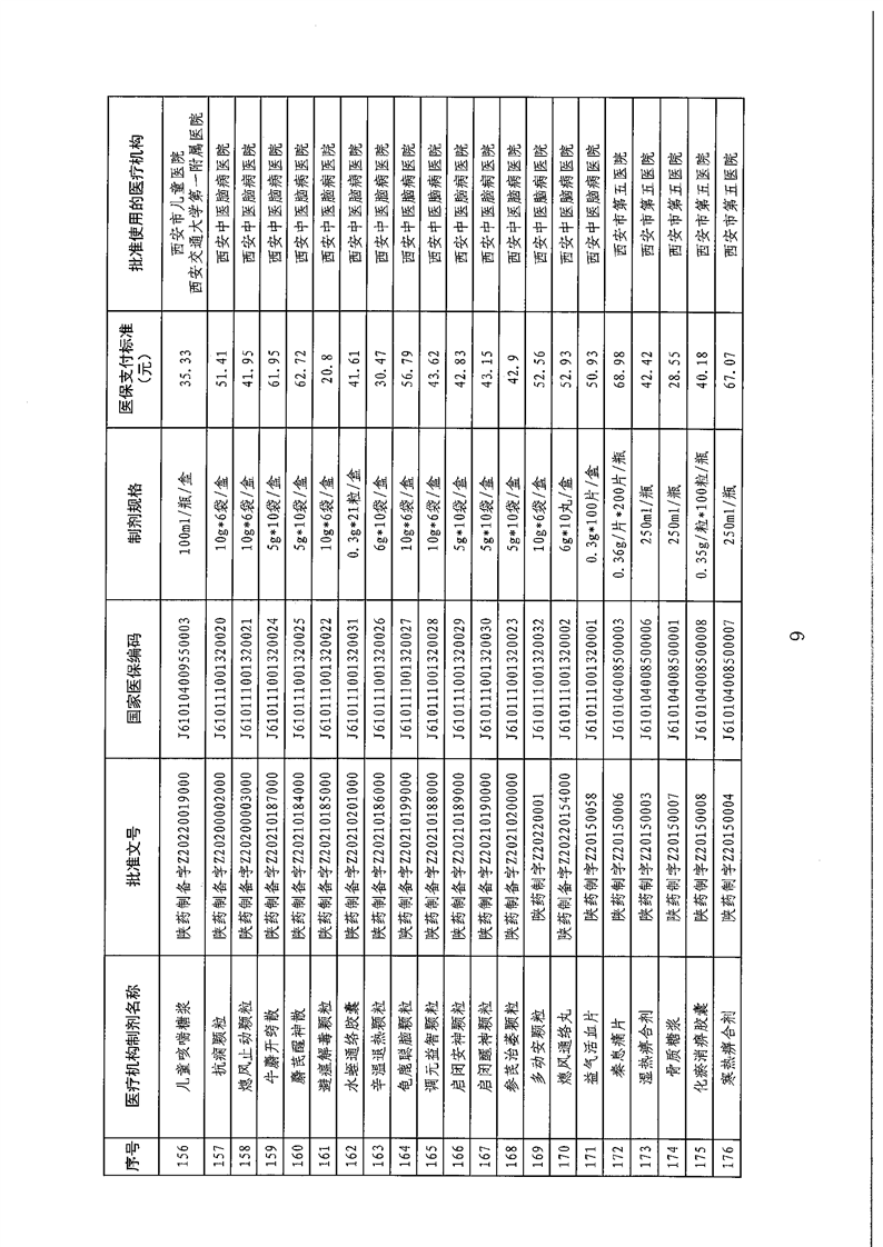
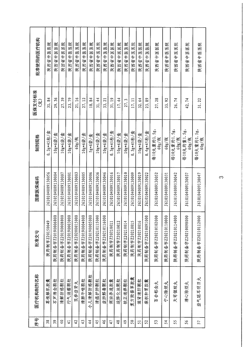
pg电子关于将部分治疗性医疗机构制剂纳入医保支付范围的通知
pg电子关于将部分治疗性医疗机构制剂纳入医保支付范围的通知
时间:2023-09-07 17:15
来源:
分享:
扫一扫:分享至微信
X
扫一扫在手机打开当前页
相关新闻
附件下载
太阳城娱乐城官方网站
威尼斯官网在线
正规十大赌博网站
太阳城集团
可靠的网上赌博
伟德国际
十大信誉博彩公司排名
网上十大娱乐网站排名
太阳城娱乐平台