pg电子
中国政府网
陕西省人民政府网
简
繁
微信矩阵
登录
注册
无障碍
适老版
搜索
网站首页
机构概况
pg电子试玩
政民互动
pg电子
机关党建
廉政纪检
专题专栏
新媒体分享
简体
繁体
首页
>
政府信息公开
>
数据发布
>
药品价格监测
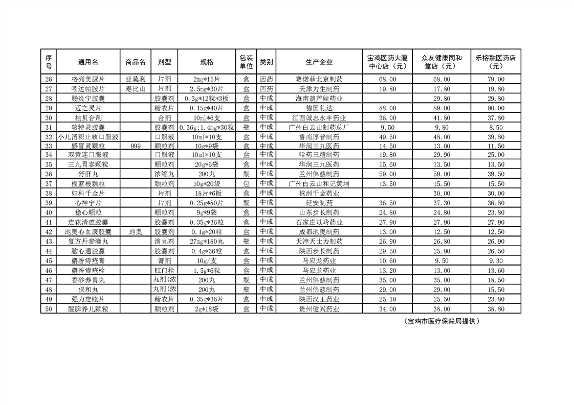
各市(区)部分定点药店常用药品零售价格监测情况(2022年第1期)
时间:2022-03-28
来源:陕西省医保局
分享:
扫一扫:分享至微信
X
扫一扫在手机打开当前页
相关新闻
附件下载
澳门威尼斯人网站
澳门威斯尼斯人官网
十大菠菜台子
澳門新葡京
365BET官方网站
莱芜市科技局
宝鸡市水利局
湘西土家族苗族自治州水利局
德州市科技局
东莞市水务局