pg电子
中国政府网
陕西省人民政府网
简
繁
微信矩阵
登录
注册
无障碍
适老版
搜索
网站首页
机构概况
pg电子
政民互动
pg电子
机关党建
廉政纪检
专题专栏
新媒体分享
简体
繁体
首页
>
政府信息公开
>
数据发布
>
药品价格监测
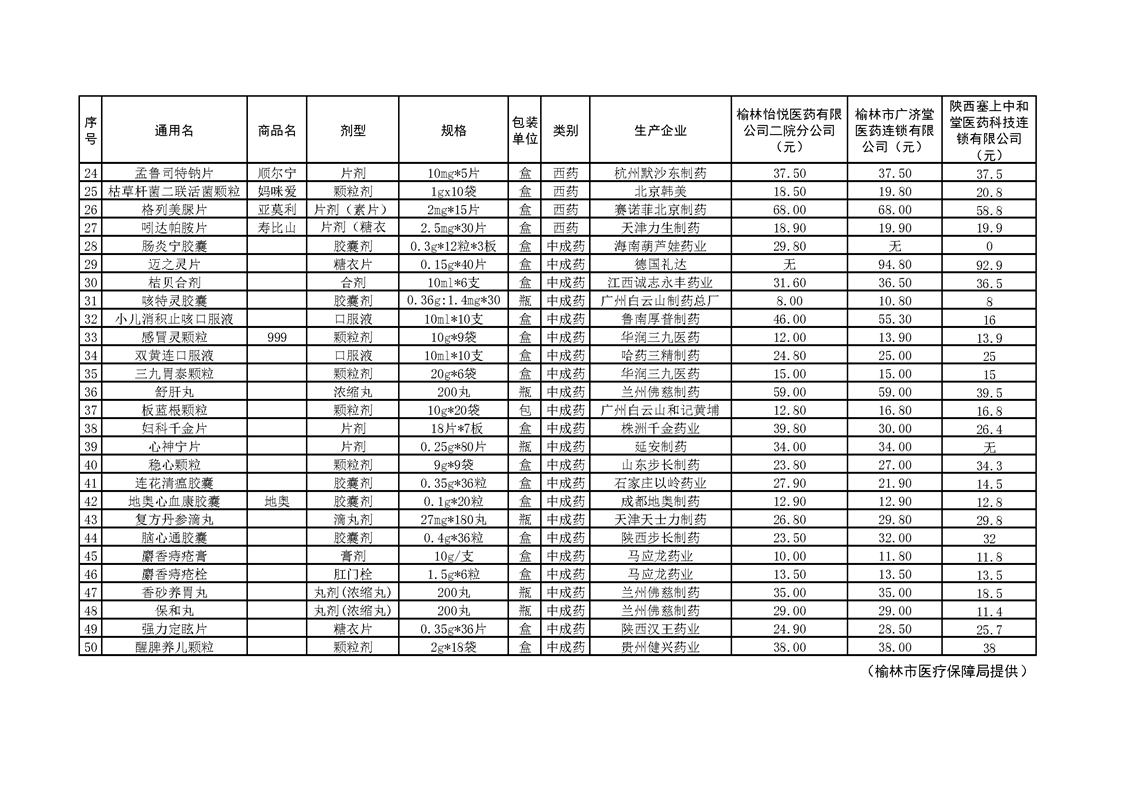
各市(区)部分定点药店常用药品零售价格监测情况(2022年第2期)
时间:2022-04-27
来源:陕西省医保局
分享:
扫一扫:分享至微信
X
扫一扫在手机打开当前页
相关新闻
附件下载
澳门金沙线上博彩娱乐
十大博彩网站排名
在线博彩平台
十大博彩网站排行榜
立博中文版
贵州省医疗保障局
玉树藏族自治州林业局
平顶山市生态环境局
山南市科技局
河南省水利厅