pg电子
中国政府网
陕西省人民政府网
简
繁
微信矩阵
登录
注册
无障碍
适老版
搜索
网站首页
机构概况
pg电子
政民互动
pg电子
机关党建
廉政纪检
专题专栏
新媒体分享
简体
繁体
首页
>
政府信息公开
>
数据发布
>
药品价格监测
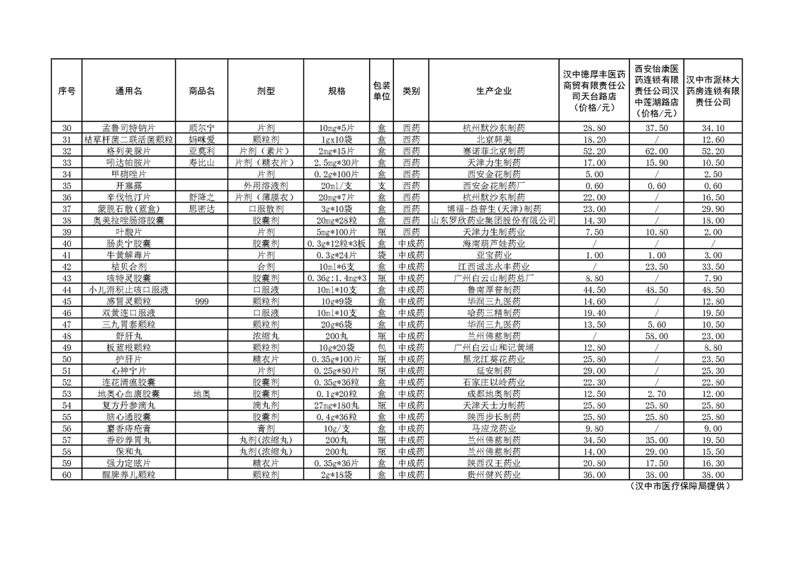
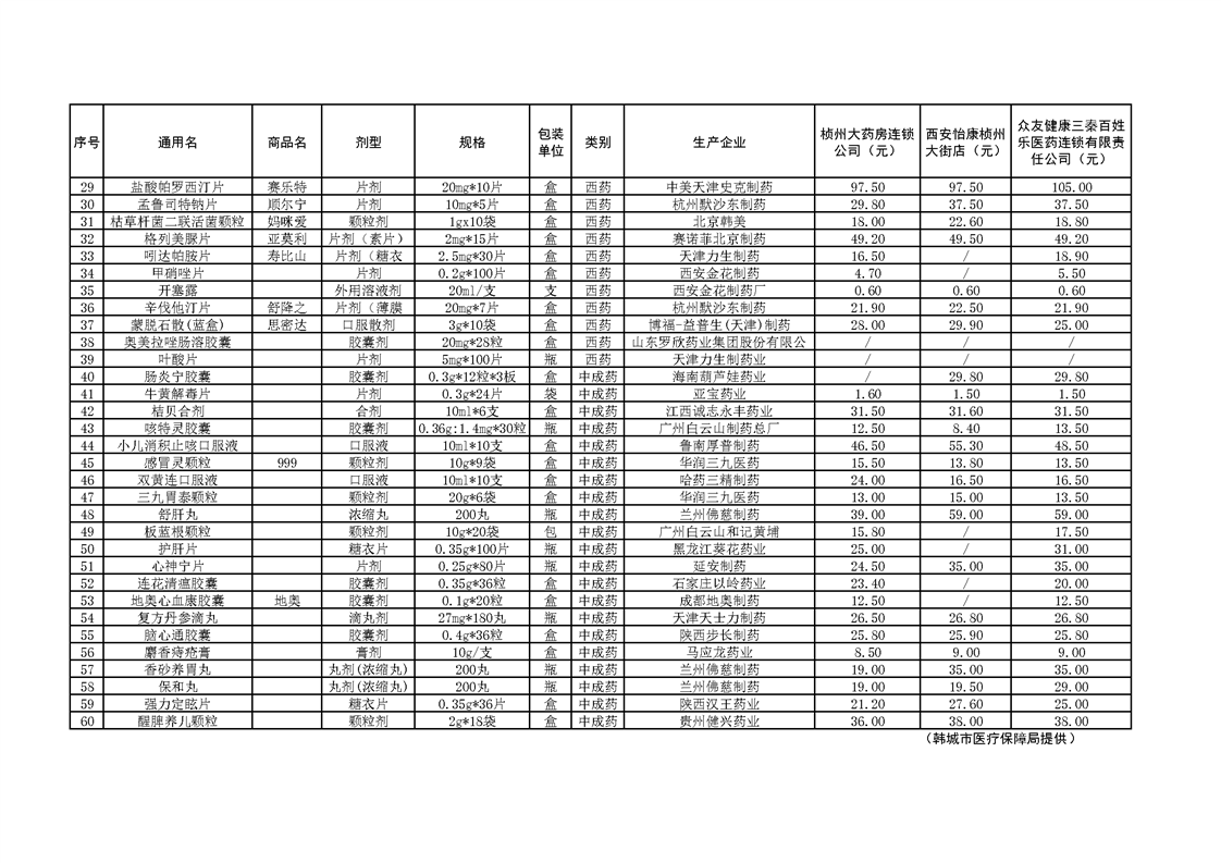
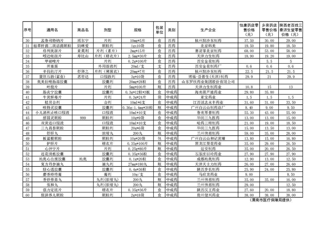
各市(区)部分定点药店常用药品零售价格监测情况(2023年第1期)
时间:2023-02-10
来源:陕西省医保局
分享:
扫一扫:分享至微信
X
扫一扫在手机打开当前页
相关新闻
附件下载
十大网络赌博网站排行
澳門太陽城专业娱樂平台
博彩平台
澳门金沙娱乐城官网
网络赌博平台
定西市科技局
延边朝鲜族自治州林业局
阿拉善盟科技局
保山市林业局
武汉市财政局